


Daniel Miranda, Nicolas Tobar, Tomás Urzúa, Ismael Aguayo & Juan Carlos Castillo
VIII Seminario Internacional de Desigualdad y Movilidad Social en América Latina - Río de Janeiro 24, 25 y 26 de marzo


¿De qué manera se comportan las brechas de género en autoeficacia digital?
¿Qué diferencias existen entre los países acerca de las brechas de género en autoeficacia digital?
Programme for International Student Assessment
Cuestionario de familiaridad con TIC.
Ciclo 2022: 393607 estudiantes, 14038 escuelas y 52 países

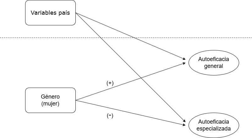
Género
Índice de desigualdad de género
Índice de desarrollo en TIC
¿En qué medida eres capaz de realizar las siguientes tareas cuando utilizas
Autoeficacia general
Buscar y encontrar información relevante en Internet.
Redactar o editar un texto para una tarea escolar.
Autoeficacia especializada
Crear un programa informático (por ejemplo en Scratch, Python, Java).
Desglosar un problema y representar una solución como una serie de pasos lógicos, como un algoritmo.
Respuestas: No puedo hacerlo (1), Me cuesta hacerlo solo (2), Puedo hacerlo con un poco de esfuerzo (3), Puedo hacerlo fácilmente (4).
Los modelos de medición comprueban que hay dos dimensiones en la autoeficacia digital.
Las mujeres presentan ventajas en la autoeficacia básica y los hombres en la autoeficacia especializada.
Las diferencias por género de autoeficacia digital varían entre los países del mundo.
Hay diferencias de género en los niveles de autoeficacia entre países?
Análisis de invarianza
Modelamiento multinivel
Explorar determinantes en las diferencias entre países (PIB, OCDE, Indices digitales, etc…)
